

Derivada de la división de funciones. Estos son los pasos que debes seguir:
Contenidos que vas a ver
FAQ sobre derivadas de una división con funciones reales de variable real. Derivar fracciones
Bienvenidos a nuestra web de matemáticas, un recurso esencial para estudiantes de matemáticas bachillerato. Hoy exploraré un tema fundamental : la derivada de la división, comúnmente derivar un cociente.
Las derivadas no solo se aplican a funciones logarítmicas, sino también a cualquier función trigonométrica. Pero, ahora toca la derivada del cociente.
Esperamos que estos ejemplos ayuden a clarificar cómo abordar las en el contexto de matemáticas bachillerato.
Te resuelvo tus dudas sobre derivadas con este bloque de FAQ en Google. 🧐📚 Respuestas claras y concisas para optimizar tu estudio. 🧠🔍
📈✨ ¡Visita nuestro FAQ! 🚀📘. Estas son las preguntas más frecuentes que el buscador de google genera para la derivada de la división y la derivada de un cociente de funciones.
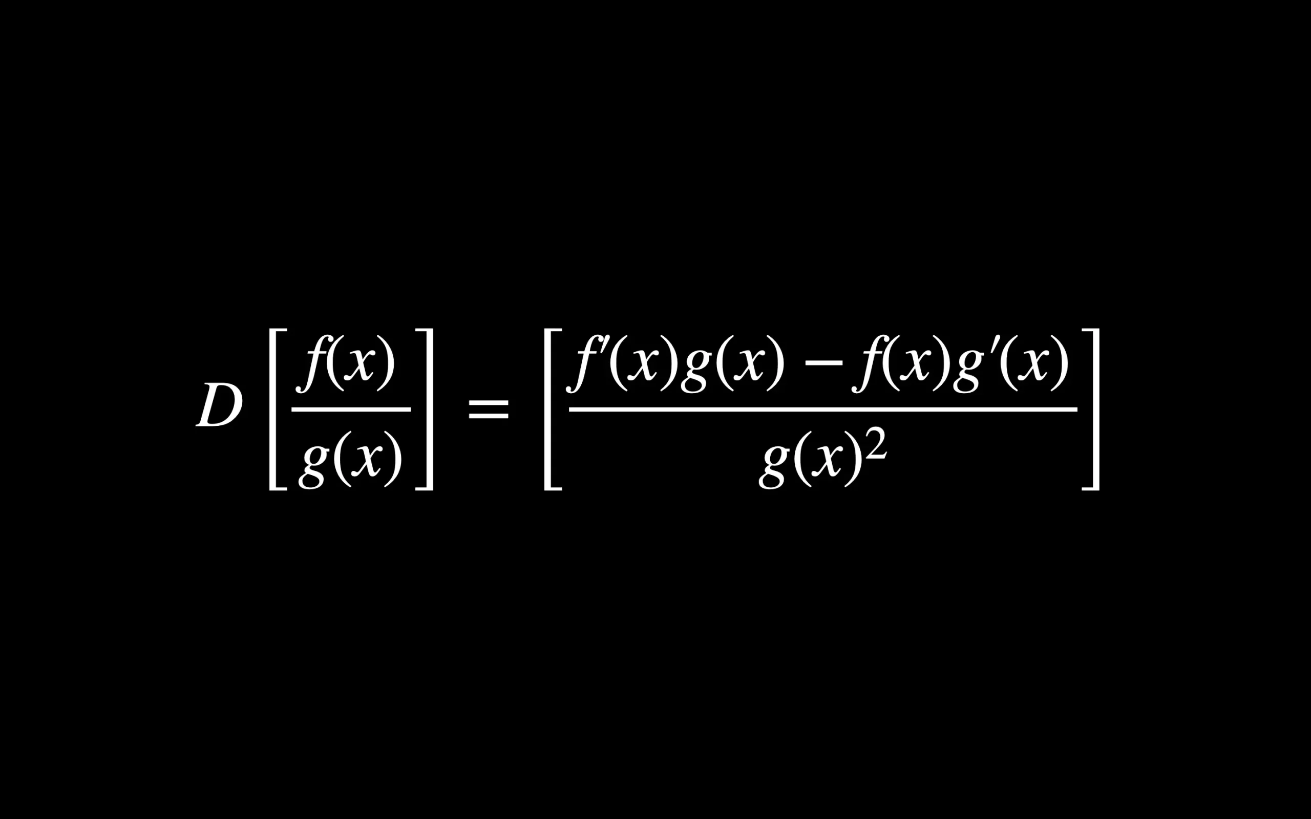
¿Cuál es la fórmula de la derivada de un cociente?

✅ En el numerador, tenemos la derivada de la función del numerador por la del denominador sin derivar, menos la función del numerador por la del denominador derivada.
✅ En el denominador aparece la función del denominador elevada al cuadrado.
¿Cuál es la derivada de una fracción?
✅ Identifica las funciones.
Ⓜ️ Haz las derivadas de las mismas
🟢 Coloca en la fórmula de las derivadas de una fracción todos los datos. FÍJATE EN LA IMAGEN
🟡 Simplifica la expresión matemática
¿Cuál es la derivada del seno?
Depende:
✅ Si solo es senx, la derivada es el cosx
✅ Si es el senf(x), la derivada es f'(x)cosf(x)
¿Qué es la derivada de 5?
La derivada de cualquier constante o número es cero y como 5 es un número su derivada es 0
Aprende con imágenes la derivada de un cociente
Nunca te olvides de los 4 pasos que tienes que dar para aplicar la fórmula derivada de una división, aquí te voy a dejar un listado de lo que puedes necesitar a la hora de ver estas imágenes y poder derivar cocientes con funciones reales:
- f(x) y g(x) son las funciones que tienes que derivar, también las puedes encontrar simbolizadas como f, g, u, v…
- f'(x) y g'(x) son las derivadas de las funciones, también las puedes encontrar simbolizadas como f’, g’, u’, v’…
- Necesitarás unas normas para poder derivar, aquí tienes unas cuantas tablas de derivadas
- No te olvides que en siguiente carrusel de imágenes, la última te enlaza a un vídeo.
La derivada del cociente tiene la siguiente fórmula: la derivada de la división de funciones es igual a una fracción, en el numerador, la derivada del numerador por el denominador sin derivar menos, la derivada del denominador por el numerador sin derivar, y en el denominador, la función del denominador al cuadrado. A continuación te doy un ejemplo de derivada del cociente.
¡¡¡ATENCIÓN!!!
Tratando este tema te recomiendo que no olvides que las normas de derivación que estás viendo por sí solas, no te va a servir para mejorar tus conocimientos sobre la teoría de las derivadas ¡CLICLA!
Regla de la derivada de la división de funciones. Ejercicios resueltos de derivadas de fracciones.
A continuación vas a ver una serie de ejercicios resueltos paso a paso sobre derivadas de fracciones:
Te voy a ayudar con un listado para que puedas aplicar bien las normas de la derivada de un cociente de funciones con los 4 pasos que te he propuesto:

🟡 Aquí tienes la fórmula de la derivada de una fracción de funciones.
🟡 ¿Tienes problemas con las derivadas? Descubre nuestra tabla de derivadas definitiva y simplifica tus cálculos al instante. 🚀📚 ¡Haz clic ahora y transforma tu estudio del cálculo! 📈✨ Necesitas una buena tabla para ver la fórmula de las distintas derivadas y ejercicios resueltos matemáticas.
🟡 ¡CUIDADO! debes tener en cuenta para calcular una derivada de la división las propiedades de las derivadas.
Aquí tienes 10 ejercicios sobre cómo derivar una división
Para derivar una fracción necesitas práctica. Te resuelvo estos ejercicios de derivadas de divisiones fácilmente, son 10 ejercicios que te guiaré en 4 pasos. 🚀🔍 ¡Optimiza tu aprendizaje y mejora tus habilidades ahora! 📘✨. Ejercicios resueltos matemáticas
Bienvenido a las Matemáticas de Hoy
En nuestro sitio web de matemáticas, nos dedicamos a proporcionar recursos y herramientas de alta calidad para estudiantes, profesores y entusiastas de las matemáticas. Aquí encontrarás todo lo que necesitas para dominar esta fascinante disciplina, desde definiciones precisas hasta aplicaciones prácticas en la economía.
Navegación Intuitiva
Nuestro diseño de navegación intuitivo te permite encontrar rápidamente el contenido que buscas. Ya sea que necesites un formulario matemático para resolver una ecuación, o estés explorando conceptos avanzados como el logaritmo o la función trigonométrica, dentro de la derivada de una fracción de funciones, lo tenemos cubierto.
Recursos Destacados
- Definiciones: Accede a explicaciones claras y concisas de términos matemáticos esenciales.
- Formularios: Encuentra y utiliza diversos formularios para resolver problemas matemáticos de manera eficiente.
Contenido Actualizado
Nos enorgullece mantener nuestro contenido actualizado y relevante. Hoy puedes encontrar las últimas técnicas y teorías matemáticas, asegurándote de que siempre estés al día con los avances más recientes.
Deja que mis Matemáticas Te Guíen
Deja que las matemáticas te guíen en tu camino hacia el conocimiento. Nuestro objetivo es hacer que el aprendizaje de las matemáticas sea accesible y emocionante para todos.
Explora nuestra web y descubre cómo las matemáticas pueden transformar tu manera de ver el mundo. ¡Comienza tu viaje matemático con nosotros hoy mismo!


🎥 ¿Quieres entender mejor la derivada de la división con ejercicios prácticos? 👉 ¡Mira este vídeo ahora! 📹✨
¡Toma vídeos! ¿sabes cómo se calcula la derivada de una división?
Si has llegado hasta aquí te has dado cuenta que necesitas derivar cualquier tipo de función real de variable real. No es un problema, sigue estos vídeos. Te vas a encontrar la derivada de una división fórmula: ver solución de todos los ejercicios.
¡Bienvenidos a nuestra página de matemáticas en youtube @masmath!
Aquí, en nuestra web, encontrarás una amplia variedad de recursos educativos diseñados para estudiantes de ESO y secundaria. Nos dedicamos a proporcionar ejemplos y ejercicios que te ayudarán a entender y dominar las matemáticas de manera efectiva.
Ejemplo y Ejercicio
Cada ejemplo en nuestra web está cuidadosamente seleccionado para ilustrar conceptos clave en matemáticas. Acompañamos estos ejemplos con ejercicios prácticos que te permitirán aplicar lo aprendido y reforzar tu comprensión.
Recursos Adicionales
En nuestra página, también encontrarás:
- Videos de YouTube explicando los pasos para resolver problemas complejos.
- Explicaciones detalladas de teoremas y cómo aplicarlos en distintos contextos.
- Resultados de ejercicios con soluciones paso a paso para que puedas verificar tu trabajo.
Nuestro objetivo es hacer que tu aprendizaje de matemáticas y ciencias sea accesible y comprensible para todos los estudiantes de secundaria. ¡Explora nuestra web y descubre cómo podemos ayudarte a alcanzar el éxito académico!





